Learn effective ways to stay energized and active as you age through science-backed strategies...
Importance of Energy for Aging Well
Energy is a cornerstone of living a fulfilling and active life, especially as we grow older. As the body ages, maintaining vitality becomes more challenging due to natural declines in mitochondrial efficiency, hormonal shifts, and increased oxidative stress. Research highlights that mitochondrial dysfunction is one of the primary drivers of age-related energy decline, impacting the body's ability to produce ATP—the energy currency of the cell (Zhou et al., 2021). These biological changes often lead to reduced energy levels, fatigue, and a diminished ability to stay active (Jang et al., 2018).

Aging well is about more than just extending lifespan; it’s about preserving healthspan—the years spent in good health and vitality. Sustaining energy is critical to achieving this goal, as it supports physical activity, mental sharpness, and emotional resilience. By integrating a combination of lifestyle strategies, dietary modifications, and scientifically validated energy boosters, individuals can combat fatigue and maintain an active lifestyle.
Recent advancements in nutrition and longevity science have identified targeted interventions, such as vitamins for energy and tiredness, that directly address the biological factors behind fatigue. These interventions, combined with the right habits, provide a pathway to stay energized and vital at any age. In this article, we explore how diet, lifestyle, and supplements can enhance energy levels, prevent fatigue, and support a vibrant, active life.
Natural Energy-Boosting Supplements
Natural energy boosters offer targeted support to address the underlying biological mechanisms of fatigue. These supplements work by optimizing cellular energy production, improving circulation, and reducing oxidative stress, all of which contribute to enhanced stamina and endurance.
Ashwagandha: Known for its adaptogenic properties, Ashwagandha helps the body combat stress and supports adrenal health. Research shows it can reduce cortisol levels, improve energy, and enhance physical performance by regulating the hypothalamic-pituitary-adrenal (HPA) axis (Chandrasekhar et al., 2012).
Magnesium: Essential for over 300 enzymatic processes in the body, magnesium supports energy production by activating adenosine triphosphate (ATP), the molecule responsible for storing and transferring energy. Studies demonstrate that magnesium supplementation improves fatigue and promotes recovery in individuals with age-related deficiencies (Abbasi et al., 2012).
Urolithin A: Derived from compounds found in pomegranates, Urolithin A promotes mitophagy, the process of clearing damaged mitochondria to improve cellular energy efficiency. Clinical research highlights its ability to enhance muscle strength, endurance, and overall vitality, particularly in aging populations (Singh et al., 2022).

Nicotinamide Mononucleotide (NMN): As a precursor to NAD+, NMN is crucial for mitochondrial function and energy production. Supplementation with NMN restores declining NAD+ levels, improving energy metabolism and combating oxidative stress (Covarrubias et al., 2021).
These best supplements for energy form a powerful foundation for maintaining energy levels, addressing fatigue, and improving physical and cognitive resilience.
How Diet and Lifestyle Affect Energy Levels
Diet and lifestyle choices are central to sustaining energy levels and minimizing fatigue. Poor nutrition, physical inactivity, and high stress levels exacerbate energy declines, while targeted changes can yield significant improvements.
Nutrition: A balanced diet rich in whole foods, lean proteins, healthy fats, and complex carbohydrates provides the nutrients necessary for sustained energy. Consuming foods high in antioxidants, such as berries and leafy greens, reduces oxidative stress and supports mitochondrial health. Avoiding processed foods and refined sugars minimizes blood sugar spikes and energy crashes (Martínez-González et al., 2019). Adding vitamins for tiredness to meals ensures energy levels remain steady throughout the day.
Hydration: Dehydration is a common but overlooked cause of fatigue. Ensuring adequate fluid intake supports circulation, nutrient transport, and cognitive function, preventing unnecessary energy dips.
Physical Activity: Regular exercise improves mitochondrial function, increases oxygen uptake, and enhances circulation, contributing to improved stamina and reduced fatigue. Both aerobic activities and resistance training have been shown to support energy production and overall well-being (Piercy et al., 2018).
Sleep Quality: Poor sleep disrupts hormonal regulation and impairs mitochondrial function, leading to chronic fatigue. Prioritizing consistent sleep schedules and creating a restful environment can restore energy and improve recovery (Walker, 2017).
Stress Management: Chronic stress depletes energy reserves by elevating cortisol levels, which disrupt glucose metabolism and impairs mitochondrial function. Stress-reducing practices like yoga, meditation, and deep breathing enhance resilience and sustain energy (Chandrasekhar et al., 2012).
By addressing these lifestyle factors, individuals can optimize their energy levels and reduce the impact of aging on physical and mental performance. Integrating vitamins for energy alongside these habits ensures comprehensive support for sustained vitality.
Recommended Energy Supplements
For those seeking targeted support, scientifically validated energy boosters can provide a reliable solution for sustained energy and vitality. These supplements address the biological changes associated with aging, ensuring a comprehensive approach to anti-fatigue strategies.
Nicotinamide Mononucleotide (NMN): NMN replenishes NAD+ levels, supporting mitochondrial function and DNA repair. Research shows that NMN supplementation improves energy metabolism and reduces oxidative damage, making it a cornerstone for combating age-related fatigue (Covarrubias et al., 2021).
Urolithin A: Urolithin A improves mitochondrial health by promoting mitophagy, helping cells remove damaged components and enhance energy production. Clinical studies demonstrate its ability to increase muscle endurance and physical performance in aging individuals (Singh et al., 2022).
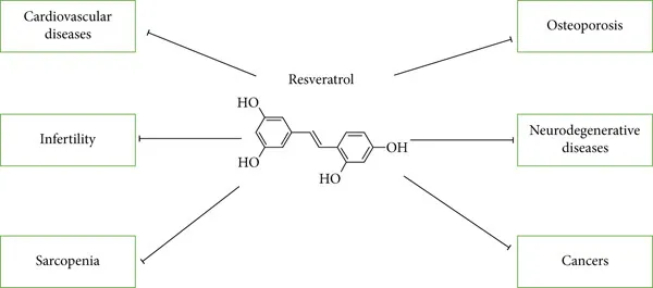
Resveratrol: A polyphenol found in grapes and berries, Resveratrol enhances mitochondrial function by activating sirtuins, a family of proteins involved in cellular energy regulation and oxidative stress reduction. It has been shown to support cardiovascular health and improve energy efficiency (Zhou et al., 2021).

Magnesium: Magnesium supports ATP synthesis, helping cells meet their energy demands. Its role in regulating neurotransmitters also aids in relaxation and recovery, reducing fatigue associated with physical and mental stress (Abbasi et al., 2012).
Ashwagandha: By modulating the stress response, Ashwagandha helps preserve energy reserves and enhance stamina. Its adaptogenic effects improve resilience to fatigue, making it an excellent choice for those experiencing chronic stress and energy depletion (Chandrasekhar et al., 2012).
Fisetin: A flavonoid with antioxidant properties, Fisetin combats oxidative stress and supports cellular repair processes. It enhances autophagy, clearing damaged cells and contributing to improved energy levels and systemic health (You et al., 2018).
These vitamins for energy and tiredness are most effective when combined with a balanced diet and active lifestyle. By incorporating scientifically backed supplements, optimizing habits, and focusing on sustainable lifestyle changes, individuals can achieve a comprehensive strategy for combating fatigue and enhancing vitality as they age. Anti-fatigue measures, such as these supplements, ensure consistent energy and resilience against the challenges of aging.
References